Задание 2.415 - ГДЗ Математика 6 класс. Виленкин, Жохов. Учебник часть 1

Старая и новая редакции

Вернуться к содержанию учебника

2.412 2.413 2.414 2.415 2.416 2.417 2.418

Вопрос

Выберите год учебника

№2.415 учебника 2023-2024 (стр. 101):

Фермеру надо вспахать участок земли размером га. До обеда он вспахал этого участка. Сколько гектаров земли вспахал фермер до обеда?


№2.415 учебника 2021-2022 (стр. 93):

Найдите произведение:

Подсказка

№2.415 учебника 2023-2024 (стр. 101):

Вспомните:

  1. Как найти дробь от числа, умножение обыкновенных дробей, взаимно обратные числа.
  2. Смешанные числа.
  3. Неправильные дроби.

№2.415 учебника 2021-2022 (стр. 93):

Вспомните:

  1. Умножение обыкновенных дробей.
  2. Смешанные числа.
  3. Сокращение дробей.
  4. Распределительное свойство умножения.
  5. Неправильные дроби.
  6. Деление и дроби.
  7. Деление с остатком.

Ответ

№2.415 учебника 2023-2024 (стр. 101):

Ответ: 1 га земли вспахал фермер до обеда.


Пояснения:

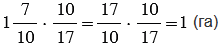
Чтобы найти дробь от числа, нужно умножить число на эту дробь.

Фермеру надо вспахать участок земли размером га. До обеда он вспахал этого участка. Значит, до обеда фермер вспахал:

При выполнении умножения смешанное число преобразуем в неправильную дробь. Чтобы преобразовать смешанное число в неправильную дробь, надо целую часть числа умножить на знаменатель дробной части и к полученному произведению прибавить числитель дробной части; эту сумму записать как числитель неправильной дроби, а в ее знаменатель записать знаменатель дробной части смешанного числа. Также учитываем то, что произведение взаимно обратных чисел равно единице ( обратным числу является число ).


№2.415 учебника 2021-2022 (стр. 93):


Пояснения:

Чтобы умножить смешанное число на натуральное число, используем распределительное свойство умножения, а именно, чтобы умножить смешанное число на натуральное число, можно:

1) умножить целую часть на натуральное число;

2) умножить дробную часть на это натуральное число;

3) сложить полученные результаты.

Чтобы умножить обыкновенную дробь на натуральное число, нужно ее числитель умножить на это число, а знаменатель оставить без изменения. Чтобы вычисления были проще, не надо перемножать сразу, лучше сделать это после сокращения. Сократить дробь - значит, разделить ее числитель и знаменатель на их наибольший общий делитель. Также помним, дробь, у которой в знаменателе стоит единица, равна своему числителю, а дробь, у которой числитель и знаменатель одинаковые, равна единице.

Если при вычислениях получилась неправильная дробь (числитель больше знаменателя), преобразуем ее в смешанное число. Чтобы неправильную дробь, числитель которой нацело не делится на знаменатель, преобразовать в смешанное число, надо числитель разделить на знаменатель; полученное неполное частное записать как целую часть смешанного числа, а остаток - как числитель его дробной части.


Вернуться к содержанию учебника